Aller au contenu principal
Recherche
  • Annonceurs
  • e-Archives
  • S'abonner
  • Contact
    • Événements
    • Rétrospectives
  • Place de marché
  • À propos de nous
Thèmes

Réseaux énergétiques

  • Article spécialisé
  • Interview
  • News
  • Opinion

Production

  • Article spécialisé
  • Interview
  • News
  • Opinion

Stockage d'énergie

  • Article spécialisé
  • Interview
  • News
  • Opinion

Consommation

  • Article spécialisé
  • Interview
  • News
  • Opinion

Mobilité

  • Article spécialisé
  • Interview
  • News
  • Opinion

ICT

  • Article spécialisé
  • Interview
  • News
  • Opinion

Electrosuisse

  • Article spécialisé
  • Interview
  • News
  • Opinion
Article spécialisé
Production

Gestion de la production photovoltaïque

Hybridation optimale et contrôle des systèmes hybrides PV/batteries dans les réseaux de distribution résidentiels

Afin d’éviter les surtensions provoquées par une intégration massive non coordonnée de production photovoltaïque, une stratégie de gestion des producteurs solaires dotés d’une batterie ainsi qu’une méthodologie d’évaluation du plan de tension ont été développées à la Haute école d’ingénierie et d’architecture de Fribourg.

28.02.2017  | 
Synoptique d’une installation photovoltaïque raccordée au réseau avec un système de stockage d’énergie.
Synoptique d’une installation photovoltaïque raccordée au réseau avec un système de stockage d’énergie.

Dr Harun Turker

a été chargé de projets en 2016 à la Haute école d’ingénierie et d’architecture de Fribourg.

  • HEIA-FR
    1705 Fribourg
  • email
,

Dr Patrick Favre-Perrod

est directeur adjoint de la Haute école d’ingénierie et d’architecture de Fribourg et membre du comité d'Electrosuisse.

  • HEIA-FR 
    1705 Fribourg
  • e-mail

Dans les pays industrialisés, la production d’énergie photovoltaïque (PV) est en plein essor, notamment grâce à l’incitation des pouvoirs publics. De par leurs dépendances aux conditions météorologiques, les énergies renouvelables de sources photovoltaïques ont cependant une production stochastique rendant délicate leur intégration sur les réseaux électriques de type résidentiel. En effet, une intégration massive non coordonnée compromet fréquemment le maintien des niveaux de tension dans les limites contractuelles. Dans cet article, une stratégie de gestion de l’énergie, «Energy Management Strategy (EMS)», hors ligne décentralisée est présentée pour l’hybridation et la gestion optimales des systèmes hybrides PV/batteries dans les réseaux de distribution résidentiels. L’objectif consiste à étudier le plan de tension du réseau sans/avec cette stratégie pour différents taux de pénétration de PV et de le comparer à celui du réseau initial dépourvu de producteurs solaires.

Définition de la charge du réseau

La méthodologie d’évaluation du plan de tension est composée de 3 principales étapes: définition de la charge du réseau, intégration de la production PV et gestion de la production solaire avec stockage (figure 1).

<strong>Figure 1</strong> Synoptique de la méthodologie d’évaluation du plan de tension.
Figure 1 Synoptique de la méthodologie d’évaluation du plan de tension. | Figure: HEIA-FR

La première étape consiste à définir la charge du réseau en affectant une courbe de charge (CdC) journalière à chaque maison constituant le réseau électrique basse tension (BT), tout en prenant en compte la disparité relative à la taille des logements. À noter que le réseau BT considéré est de type résidentiel et les CdC utilisées proviennent de bases de données contenant chacune 1000 CdC réelles construites préalablement pour chaque taille de maison pour la saison d’été. [1-3] Le processus s’assure qu’une même courbe de charge n’a pas été utilisée pour plusieurs logements.

En outre, les bases de données fournissant des puissances actives, une puissance réactive est générée pour chaque logement par le biais d’une sélection aléatoire d’un tanφ compris entre 0 et 0,5. [4] Finalement, le processus de localisation aléatoire appliqué à chaque logement permet d’hétérogénéiser les différentes tailles de maisons au sein du réseau BT.

Intégration de la production photovoltaïque

Au cours de la deuxième étape, la production stochastique solaire est intégrée au réseau sans management et ipso facto, sans système de stockage.

Pour ce faire, un taux de pénétration (TP) théorique de PV est choisi par l’utilisateur. L’énergie correspondante au TP est déterminée en fonction de l’énergie journalière totale consommée par le réseau. Selon le TP, le nombre de systèmes photovoltaïques est défini en utilisant la courbe de production solaire journalière de référence (figure 2). Si le nombre d’installations sur le réseau est unitaire, la courbe de référence est utilisée. Dans le cas inverse, une méthode intelligente est employée pour modifier la puissance nominale de chaque système PV intégré au réseau en appliquant de façon aléatoire un facteur de multiplication à la production solaire journalière de référence. Finalement, chaque installation PV est positionnée aléatoirement sur le réseau.

<strong>Figure 2</strong> Exemple d’application de la programmation linéaire.
Figure 2 Exemple d’application de la programmation linéaire. | Figure: HEIA-FR

Gestion de la production solaire avec stockage

La dernière étape consiste à piloter la production d’énergie du système hybride PV/batteries. La stratégie de gestion de l’énergie proposée est composée de deux algorithmes, le premier pour déterminer la puissance maximale constante qui peut être injectée sur le réseau, le second pour dimensionner le système de stockage permettant d’atteindre un rendement énergétique de 100%.

Ainsi, dans un premier temps, la programmation linéaire a été utilisée dans une fonctionnalité de type hors ligne où la courbe de production solaire journalière est connue par l’algorithme pour déterminer la puissance maximale constante à injecter sur le réseau durant toute la journée en respectant les contraintes. Un algorithme de type off-line a été choisi, car il permet d’évaluer l’optimum théorique atteignable avec une stratégie implémentée en temps réel. [5,6]

Dans un second temps, la taille minimale optimale de la batterie qui permet d’atteindre un rendement énergétique de 100% a été définie par un processus heuristique. De prime abord, une taille de batterie est fixée arbitrairement et, ensuite, celle-ci est augmentée (ou diminuée) suivant le rendement obtenu. À noter que dans ce contexte, le rendement énergétique représente le pourcentage de la quantité d’énergie produite par les panneaux photovoltaïques qui a été injectée au réseau électrique.

La figure 2 illustre un exemple d’application relatif à cette troisième étape.

À noter encore deux remarques concernant la méthodologie d’évaluation du plan de tension: d’une part, le procédé s’assure que les cas traités à l’étape 3 sont les mêmes que ceux retenus à l’étape précédente. Pour chaque logement, ceci concerne: la sélection de la taille (nombre de pièces), de la courbe de charge, du tanφ, de la position au sein du réseau, de la courbe de production solaire, de l’emplacement de l’installation PV au sein du réseau, etc. D’autre part, pour chaque taux de pénétration étudié, le processus global est répété 10 fois, ce qui est suffisant puisque le critère introduit ne change pas au-delà. En effet, la convergence de l’indice de performance introduit pour évaluer la qualité du plan de tension du réseau est obtenue à 10 itérations.

Application de la méthodologie

Le taux de pénétration a été varié de 10% (8 installations PV) à «taux complet, full» (101 installations PV, une sur chaque maison) et 10 simulations de la méthodologie globale ont été réalisées pour chaque TP. Plus le taux de pénétration est élevé et plus la diversité du nombre d’installations PV intégrées au réseau est élevée. À titre d’exemple, il y a, de manière fixe, 8 installations PV insérées pour chacune des 10 simulations pour un TP de 10% tandis que ce nombre varie de 59 à 64 installations PV pour un TP égal à 80%. Dans le cas où chaque maison dispose d’une installation PV, l’énergie journalière produite par l’ensemble des systèmes PV représente environ 130% de l’énergie journalière totale consommée par le réseau BT. La figure 3 illustre, pour l’ensemble des cas d’étude, l’énergie totale consommée par le réseau électrique sans l’insertion de producteurs solaires.

<strong>Figure 3</strong> Énergie totale consommée par le réseau électrique.
Figure 3 Énergie totale consommée par le réseau électrique. | Figure: HEIA-FR

Plans de tension du réseau résidentiel

Un réseau de distribution de type résidentiel mis à disposition par Groupe E a été utilisé. De type urbain souterrain, le réseau résidentiel considéré est composé de 101 maisons. Le logiciel Neplan a été employé pour simuler le réseau et effectuer les calculs de répartition de charges (Load Flow, LF).

Pour chacun des 8 taux de pénétration, 10 simulations ont été réalisées, en premier lieu sans PV, puis en utilisant les mêmes éléments couplés cette fois avec l’insertion de production photovoltaïque dépourvue de pilotage. Enfin, le réseau a été simulé sous les mêmes conditions, mais avec la gestion des producteurs solaires. Pour ce faire, 24'240 courbes de charges de maisons ont été utilisées et 240 simulations de LF journaliers ont été réalisées. Chaque LF journalier est lui-même constitué de 144 LF, car les courbes de consommation des maisons et de production des systèmes PV ont un pas de temps égal à 10 minutes.

Les figures 4a et 4b illustrent les plans de tension moyens du réseau pour des taux de pénétration de PV de 40%, puis «full» respectivement. Pour chacun des 3 cas, ces figures présentent les profils journaliers de tension moyennés obtenus à partir des 10 simulations. Pour chaque simulation, le plan de tension du réseau est obtenu en calculant la moyenne de tous les nœuds.

<strong>Figure 4</strong> Plans de tension du réseau électrique pour un taux de pénétration de 40% (a) et «full» (b).
Figure 4 Plans de tension du réseau électrique pour un taux de pénétration de 40% (a) et «full» (b). | Figure: HEIA-FR

Le gestionnaire du réseau de distribution s’engage à respecter la norme NF-EN-50160 imposant la fourniture d’une tension de 400 V ± 10% aux clients raccordés en BT. Au-delà de ce gabarit, il est considéré que le plan de tension n’est plus respecté. Les profils journaliers de tension de chacun des 165 nœuds du réseau ont été analysés pour toutes les simulations. Tous, sans exception, respectent la norme. Il en a été déduit que le réseau sous étude est surdimensionné, à l’instar de la majorité des réseaux de type résidentiel de la plupart des pays développés.

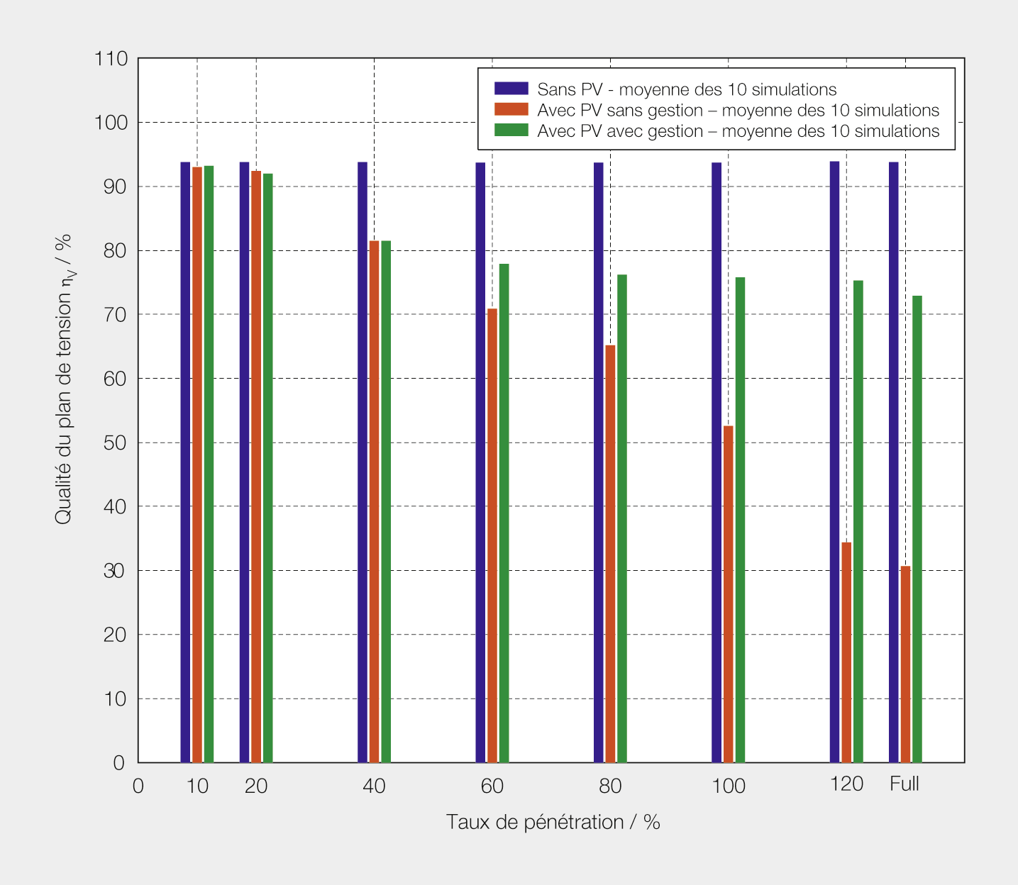
L’un des problèmes majeurs de l’intégration des producteurs solaires sur le secteur résidentiel sont les surtensions. Afin d’étudier ce phénomène, la norme a été «stressée» et de nouvelles limites ont été testées: une tension alternative de 400 V comprise entre - 10% et + 3,5%. Un critère, ηV, a été introduit. Cet indice de performance quantifie la qualité du plan de tension du réseau sous forme d’un rendement. [7] L’indice ηV comptabilise parmi les 1650 profils journaliers de tension (165 nœuds x 10 simulations) relevés à chaque taux de pénétration le nombre de nœuds dont le profil de tension ne respecte pas la norme au moins 1 fois durant la journée. Un maximum d’un seul non-respect de la norme NF-EN-50160 est considéré journalièrement pour chaque nœud dans chacune des 10 simulations, et ce, dans l’objectif de normaliser le critère ηV. L’exercice est évidemment réitéré pour chacun des 3 cas: sans PV et avec PV avec/sans pilotage. La figure 5 illustre les résultats de l’indice de performance ηV pour l’ensemble des cas d’études.

<strong>Figure 5</strong> Qualité du plan de tension du réseau électrique.
Figure 5 Qualité du plan de tension du réseau électrique. | Figure: HEIA-FR

Conclusions

Dans cet article, une stratégie de gestion de l’énergie hors ligne décentralisée est présentée pour l’hybridation et la gestion optimales des systèmes hybrides PV/batteries dans les réseaux de distribution résidentiels. Une méthodologie d’évaluation du plan de tension du réseau a été utilisée. Afin de quantifier les résultats, un indice de performance évaluant la qualité de la tension du réseau a été introduit.

Il a été démontré qu’une intégration massive non coordonnée des producteurs solaires (sans système de stockage) détériore le plan de tension du réseau résidentiel. D’une manière logique, plus le taux de pénétration est élevé et plus l’impact sur le plan de tension est important. Le pilotage de la production d’énergie des systèmes hybrides PV/batteries améliore de manière conséquente la qualité du plan de tension du réseau électrique. Grâce à la stratégie utilisée, le plan de tension du réseau atteint pratiquement la même qualité quel que soit le taux de pénétration de producteurs solaires pilotés.

La stratégie de gestion de l’énergie proposée a l’avantage d’être générique et a la capacité de fonctionner pour n’importe quelle quantité de production solaire (secteur de l’habitat ou application de type centrale solaire). Il s’agit d’un algorithme hors ligne décentralisé destiné aux industriels, aux ingénieurs en développement et aux exploitants des réseaux électriques. L’outil proposé a la particularité de pouvoir être implémenté immédiatement sur les réseaux électriques existants, sans besoin d’infrastructure supplémentaire. Il est de plus très faiblement lié au déploiement des nouvelles TIC. L’algorithme est à usages multiples: il peut être utilisé pour définir le plan de production journalier d’un système hybride PV/batteries en exploitation, la taille optimale des batteries et/ou calculer le temps de retour sur investissement d’un système lors de la phase d’étude. L’outil peut également être employé dans le but de réduire les pics de consommation d’électricité à un point du réseau par l’ajout d’un système de stockage sur différents secteurs (habitat, building, etc.). Dans ce cas, la courbe de consommation journalière d’électricité (à «aplatir») devra être considérée en substitution à la courbe de production solaire qui a été utilisée dans cette étude.

Perspectives

La stratégie de gestion de l’énergie proposée dans cet article est de type off-line, car la production solaire journalière est connue par l’algorithme. Or, la prédiction de la production solaire est un sujet délicat et riche en questionnements bien qu’il y ait eu des améliorations récentes. Un écart existe incontestablement entre la prédiction et la production réelle d’une installation solaire. Celui-ci aura forcément un impact qu’il faudra prendre en considération pour une meilleure mise en œuvre de la solution proposée dans cet article. C’est la raison pour laquelle l’objet de la prochaine étude consistera à analyser les écarts entre les prévisions et les productions réelles des installations photovoltaïques.

Références

[1] H. Turker, S. Bacha, D. Chatroux, A. Hably: Low-Voltage Transformer Loss-of-Life Assessments for a High Penetration of Plug-In Hybrid Electric Vehicles (PHEVs). IEEE Transactions on Power Delivery, Vol. 27, Issue: 3, pp. 1323-1331, June 2012.
[2] H. Turker, S. Bacha, A. Hably: Rule-Based Charging of Plug-in Electric Vehicles (PEVs): Impacts on the Aging Rate of Low-Voltage Transformers. IEEE Transactions on Power Delivery, Vol. 29, Issue: 3, pp. 1012-1019, June 2014.
[3] H. Turker, S. Bacha, D. Chatroux, A. Hably: Modelling of system components for Vehicle-to-Grid (V2G) and Vehicle-to-Home (V2H) applications with Plug-in Hybrid Electric Vehicles (PHEVs). Innovative Smart Grid Technologies (ISGT), 2012 IEEE PES, 16-20 Jan. 2012.
[4] H. Turker, A. Florescu, S. Bacha, D. Chatroux: Voltage profile and excess subscription assessments indexes based on random selection of real Daily Loads Profiles (DLPs) on residential electric grid areas for a high penetration of Plug-in Hybrid Electric Vehicles (PHEVs). Vehicle Power and Propulsion Conference (VPPC), 2011 IEEE, Sept. 2011.
[5] H. Turker, P. Favre-Perrod: Management, Optimal Sizing and Technical-Economic Analysis of Batteries for Constant Production in Photovoltaic Systems. International Conference on Renewable Energy Research and Applications (ICRERA), 2016 IEEE, 20-23 November 2016.
[6] H. Turker: Véhicules Électriques Hybrides Rechargeables: Évaluation des impacts sur le réseau électrique et stratégies optimales de recharge. Ph.D dissertation, Department Electrical Engineering, Grenoble University & Institut National Polytechnique de Grenoble (Grenoble INP), France, 2012.
[7] H. Turker, A. Hably, S. Bacha: Smart charging of plug-in hybrid electric vehicles (PHEVs) on the residential electric grid regarding the voltage plan. Energy Conversion Congress and Exposition (ECCE), 2013 IEEE, Sept. 2013.

Remerciements

Les auteurs remercient EOS Holding / SCCER FURIES pour leur soutien financier.

Téléchargements

  • 07_1703_Turker (PDF)

Ceci pourrait également vous intéresser

Les données et&nbsp;l’IA: des&nbsp;incontournables pour la&nbsp;stratégie énergétique suisse
24.04.2026 Dr Roberto Castello

Les données et l’IA: des incontournables pour la stratégie énergétique suisse

Vers un photovoltaïque encore plus durable
08.12.2025 Alexis Barrou

Vers un photovoltaïque encore plus durable

Un outil numérique pour écoconcevoir des panneaux solaires.

Publicité
Advertorials
  • Protection des données
  • Impressum
Recherche
Thèmes
Article spécialisé Interview News Opinion Alle sehen
Article spécialisé Interview News Opinion Alle sehen
Article spécialisé Interview News Opinion Alle sehen
Article spécialisé Interview News Opinion Alle sehen
Article spécialisé Interview News Opinion Alle sehen
Article spécialisé Interview News Opinion Alle sehen
Article spécialisé Interview News Opinion Alle sehen
Événements Rétrospectives Alle sehen
Place de marché
À propos de nous
Annonceurs e-Archives S'abonner Contact